The Engine of Learning

Demystifying Backpropagation Through Mathematical Rigor

← Back to Projects & Writing Hub

The Symphony of a Million Parameters

Picture yourself standing before an enormous pipe organ with a million stops, each one controlling the pitch and volume of a different pipe. Your task? To create a perfect symphony from chaos. After your first attempt produces nothing but cacophony, you face the fundamental challenge: which stops should you adjust, by how much, and in what direction?

This is precisely the predicament faced by every neural network during training. Each weight and bias is like one of those organ stops, and the network must learn to "tune" millions of parameters simultaneously to minimize prediction error. The breakthrough that made this possible wasn't just clever engineering—it was a profound mathematical insight that transformed machine learning forever.

Welcome to backpropagation: the algorithm that taught machines how to learn from their mistakes with mathematical precision.

The Calculus of Blame

At its mathematical core, backpropagation is an application of the chain rule from calculus, but thinking of it merely as "fancy derivatives" misses its elegant conceptual beauty. The algorithm embodies a systematic approach to credit assignment—it traces the path of influence from output error back through the network's computational graph, quantifying exactly how each parameter contributed to the final mistake.

🔍 The Key Insight

The gradient of the loss function with respect to any parameter tells us the instantaneous rate of change of error with respect to that parameter. In other words: "If I nudge this weight by a tiny amount, how much will my error increase or decrease?" This is the information we need to improve our model systematically.

The genius lies in the recursive structure: to compute how a parameter in layer $\ell$ affects the final loss, we need to know how the outputs of layer $\ell$ affect the loss. But that's exactly what we computed for layer $\ell+1$! This creates a natural backward flow of gradient information, hence "back-propagation."

Mathematical Foundations

The Chain Rule

Before diving into neural networks, let's establish our mathematical foundation. The multivariate chain rule states that for a composite function $f(g(x))$:

$$\frac{df}{dx} = \frac{df}{dg} \cdot \frac{dg}{dx}$$

For functions of multiple variables, this generalizes to:

$$\frac{\partial f}{\partial x_i} = \sum_j \frac{\partial f}{\partial g_j} \cdot \frac{\partial g_j}{\partial x_i}$$

This is the mathematical engine that powers backpropagation. A neural network is essentially a deeply nested composite function, and the chain rule allows us to efficiently compute gradients by decomposing the problem into manageable pieces.

Activation Functions and Their Derivatives

Before we can derive backpropagation, we need to understand the building blocks. Let's rigorously derive the derivatives of common activation functions.

The Sigmoid Function

The sigmoid function provides a smooth, differentiable way to squash any real number into the range $(0,1)$:

Definition:

$$\sigma(z) = \frac{1}{1 + e^{-z}}$$

Derivative Derivation:

Let $u = 1 + e^{-z}$, so $\sigma(z) = u^{-1}$

Using the chain rule:

$$\frac{d\sigma}{dz} = \frac{d}{dz}(u^{-1}) = -u^{-2} \cdot \frac{du}{dz}$$

Since $\frac{du}{dz} = -e^{-z}$:

$$\frac{d\sigma}{dz} = -\frac{1}{(1 + e^{-z})^2} \cdot (-e^{-z}) = \frac{e^{-z}}{(1 + e^{-z})^2}$$

Now, let's manipulate this into a more useful form:

$$\frac{d\sigma}{dz} = \frac{e^{-z}}{(1 + e^{-z})^2} = \frac{1}{1 + e^{-z}} \cdot \frac{e^{-z}}{1 + e^{-z}}$$

Note that $\frac{e^{-z}}{1 + e^{-z}} = \frac{1 + e^{-z} - 1}{1 + e^{-z}} = 1 - \frac{1}{1 + e^{-z}}$

Final Result:

$$\boxed{\sigma'(z) = \sigma(z)(1 - \sigma(z))}$$

This elegant form means we can compute the derivative using only the forward pass value!

Other Common Activations

ReLU (Rectified Linear Unit):

$$\text{ReLU}(z) = \max(0, z)$$ $$\text{ReLU}'(z) = \begin{cases} 1 & \text{if } z > 0 \\ 0 & \text{if } z \leq 0 \end{cases}$$

Tanh (Hyperbolic Tangent):

$$\tanh(z) = \frac{e^z - e^{-z}}{e^z + e^{-z}}$$ $$\tanh'(z) = 1 - \tanh^2(z)$$

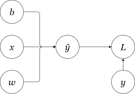
Building Blocks: The Single Neuron

Linear Neuron: The Foundation

Let's start with the simplest case and build our intuition step by step. Consider a single linear neuron with one input:

Diagram of a single linear neuron
Figure 1: A simple linear neuron transforming an input 'x'.

Note: We multiply by 1/2 for mathematical convenience. It simplifies the derivative during backpropagation, as the '2' from the power rule cancels out, leaving a clean error term.

Forward Pass

Step 1: Linear transformation: $\hat{y} = wx + b$

Step 2: Loss computation: $\mathcal{L} = \frac{1}{2}(y - \hat{y})^2$

Backward Pass

Step 1: Compute loss gradient w.r.t. prediction:

$$\frac{\partial \mathcal{L}}{\partial \hat{y}} = \hat{y} - y$$

Step 2: Compute parameter gradients using chain rule:

$$\frac{\partial \mathcal{L}}{\partial w} = \frac{\partial \mathcal{L}}{\partial \hat{y}} \cdot \frac{\partial \hat{y}}{\partial w} = (\hat{y} - y) \cdot x$$ $$\frac{\partial \mathcal{L}}{\partial b} = \frac{\partial \mathcal{L}}{\partial \hat{y}} \cdot \frac{\partial \hat{y}}{\partial b} = (\hat{y} - y) \cdot 1$$

Non-linear Neuron: Adding Complexity

Real learning requires non-linearity. Let's add a sigmoid activation:

Diagram of a single non-linear neuron with an activation function
Figure 2: A non-linear neuron with a sigmoid activation function ($\sigma$).

Forward Pass

Step 1: Pre-activation: $z = wx + b$

Step 2: Activation: $\hat{y} = \sigma(z)$

Step 3: Loss: $\mathcal{L} = \frac{1}{2}(y - \hat{y})^2$

Backward Pass

Now our chain is longer. To find $\frac{\partial \mathcal{L}}{\partial w}$:

$$\frac{\partial \mathcal{L}}{\partial w} = \frac{\partial \mathcal{L}}{\partial \hat{y}} \cdot \frac{\partial \hat{y}}{\partial z} \cdot \frac{\partial z}{\partial w}$$

Step 1: Loss w.r.t. output: $\frac{\partial \mathcal{L}}{\partial \hat{y}} = \hat{y} - y$

Step 2: Activation derivative: $\frac{\partial \hat{y}}{\partial z} = \sigma'(z) = \hat{y}(1-\hat{y})$

Step 3: Pre-activation w.r.t. weight: $\frac{\partial z}{\partial w} = x$

Final gradient:

$$\frac{\partial \mathcal{L}}{\partial w} = (\hat{y} - y) \cdot \hat{y}(1-\hat{y}) \cdot x$$

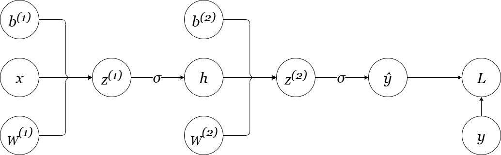
Scaling Up: Multi-Layer Networks

The real power of backpropagation emerges when we stack multiple layers. Let's consider a two-layer network and see how gradients flow backward through the computational graph.

Diagram of a single non-linear neuron with an activation function
Figure 3: A 2-layer multi-layer network

Note on Notation: As we generalize from a single neuron to a full layer of neurons, our parameters also generalize. We'll now use an uppercase $W$ to represent the weight matrix for a layer. Lowercase variables like $x$, $h$, and $b$ will represent vectors (or scalars in the case of a single bias).

Network Architecture

Layer 1 (Hidden):

$$z^{(1)} = W^{(1)}x + b^{(1)}$$ $$h = \sigma(z^{(1)})$$

Layer 2 (Output):

$$z^{(2)} = W^{(2)}h + b^{(2)}$$ $$\hat{y} = \sigma(z^{(2)})$$

Loss:

$$\mathcal{L} = \frac{1}{2}(y - \hat{y})^2$$

The Backward Pass: Layer by Layer

Output Layer Gradients

We start from the loss and work backward:

$$\frac{\partial \mathcal{L}}{\partial W^{(2)}} = \frac{\partial \mathcal{L}}{\partial \hat{y}} \cdot \frac{\partial \hat{y}}{\partial z^{(2)}} \cdot \frac{\partial z^{(2)}}{\partial W^{(2)}}$$

Computing each term:

Hidden Layer Gradients

Here's where it gets interesting. The hidden layer affects the loss through the output layer:

$$\frac{\partial \mathcal{L}}{\partial W^{(1)}} = \frac{\partial \mathcal{L}}{\partial \hat{y}} \cdot \frac{\partial \hat{y}}{\partial z^{(2)}} \cdot \frac{\partial z^{(2)}}{\partial h} \cdot \frac{\partial h}{\partial z^{(1)}} \cdot \frac{\partial z^{(1)}}{\partial W^{(1)}}$$

The key insight: $\frac{\partial z^{(2)}}{\partial h} = W^{(2)}$ represents how the hidden layer influences the output layer.

🌟 The Recursive Pattern

Notice the elegant structure: to compute gradients for layer $\ell$, we need the gradients from layer $\ell+1$. This creates a natural recursive algorithm that processes layers in reverse order—the essence of backpropagation.

Multiple Neurons: Vectorization Emerges

When we have multiple neurons per layer, something beautiful happens: the individual gradient computations combine into elegant matrix operations. This is where the computational efficiency of backpropagation truly shines.

Matrix Formulation

Consider a hidden layer with $n$ neurons and an output layer with $m$ neurons. Our weight matrices become:

Weight Matrix $W^{(2)} \in \mathbb{R}^{m \times n}$:

$$W^{(2)} = \begin{pmatrix} w^{(2)}_{11} & w^{(2)}_{12} & \cdots & w^{(2)}_{1n} \\ w^{(2)}_{21} & w^{(2)}_{22} & \cdots & w^{(2)}_{2n} \\ \vdots & \vdots & \ddots & \vdots \\ w^{(2)}_{m1} & w^{(2)}_{m2} & \cdots & w^{(2)}_{mn} \end{pmatrix}$$

Each row corresponds to one output neuron, each column to one hidden neuron.

Vectorized Backpropagation

Forward Pass (Vectorized)

$$\mathbf{z}^{(1)} = W^{(1)}\mathbf{x} + \mathbf{b}^{(1)}$$ $$\mathbf{h} = \sigma(\mathbf{z}^{(1)})$$ $$\mathbf{z}^{(2)} = W^{(2)}\mathbf{h} + \mathbf{b}^{(2)}$$ $$\hat{\mathbf{y}} = \sigma(\mathbf{z}^{(2)})$$

Backward Pass (Vectorized)

Step 1: Compute output layer error:

$$\boldsymbol{\delta}^{(2)} = (\hat{\mathbf{y}} - \mathbf{y}) \odot \sigma'(\mathbf{z}^{(2)})$$

where $\odot$ denotes element-wise multiplication.

Step 2: Backpropagate error to hidden layer:

$$\boldsymbol{\delta}^{(1)} = (W^{(2)})^T \boldsymbol{\delta}^{(2)} \odot \sigma'(\mathbf{z}^{(1)})$$

Step 3: Compute weight gradients:

$$\frac{\partial \mathcal{L}}{\partial W^{(2)}} = \boldsymbol{\delta}^{(2)} \mathbf{h}^T$$ $$\frac{\partial \mathcal{L}}{\partial W^{(1)}} = \boldsymbol{\delta}^{(1)} \mathbf{x}^T$$

This vectorized form reveals the computational elegance: what could be hundreds of individual derivative calculations becomes just a few matrix multiplications!

Batch Processing: The Final Optimization

In practice, we rarely train on single examples. Instead, we process mini-batches of data simultaneously, which provides both computational efficiency and better gradient estimates.

Batch Dimensions

When processing a batch of $B$ examples, our tensors expand to include a batch dimension:

Input batch: $X \in \mathbb{R}^{B \times d}$ (B examples, d features each)

Hidden activations: $H \in \mathbb{R}^{B \times n}$ (B examples, n hidden units each)

Output predictions: $\hat{Y} \in \mathbb{R}^{B \times m}$ (B examples, m outputs each)

Batch Backpropagation Algorithm

Forward Pass

$$Z^{(1)} = XW^{(1)T} + \mathbf{b}^{(1)}$$ $$H = \sigma(Z^{(1)})$$ $$Z^{(2)} = HW^{(2)T} + \mathbf{b}^{(2)}$$ $$\hat{Y} = \sigma(Z^{(2)})$$

Backward Pass

Step 1: Compute batch error signals:

$$\Delta^{(2)} = (\hat{Y} - Y) \odot \sigma'(Z^{(2)})$$ $$\Delta^{(1)} = \Delta^{(2)}W^{(2)} \odot \sigma'(Z^{(1)})$$

Step 2: Compute averaged gradients:

$$\frac{\partial \mathcal{L}}{\partial W^{(2)}} = \frac{1}{B}H^T\Delta^{(2)}$$ $$\frac{\partial \mathcal{L}}{\partial W^{(1)}} = \frac{1}{B}X^T\Delta^{(1)}$$ $$\frac{\partial \mathcal{L}}{\partial \mathbf{b}^{(2)}} = \frac{1}{B}\sum_{i=1}^B \boldsymbol{\delta}^{(2)}_i$$ $$\frac{\partial \mathcal{L}}{\partial \mathbf{b}^{(1)}} = \frac{1}{B}\sum_{i=1}^B \boldsymbol{\delta}^{(1)}_i$$

🚀 Why Batching Works

Batch processing provides three key advantages: (1) Computational efficiency through vectorized operations, (2) Better gradient estimates by averaging over multiple examples, and (3) Memory efficiency by amortizing the cost of loading data and computing activations.

The General Backpropagation Algorithm

Now we can state the general backpropagation algorithm for an $L$-layer neural network processing mini-batches:

Algorithm: Mini-batch Backpropagation

Input: Training batch $(X, Y)$, network parameters $\{W^{(\ell)}, \mathbf{b}^{(\ell)}\}_{\ell=1}^L$

Forward Pass

1. Initialize: $A^{(0)} = X$

2. For $\ell = 1, 2, \ldots, L$:

$Z^{(\ell)} = A^{(\ell-1)}W^{(\ell)T} + \mathbf{b}^{(\ell)}$

$A^{(\ell)} = \sigma^{(\ell)}(Z^{(\ell)})$

Loss Computation

3. Compute loss: $\mathcal{L} = \frac{1}{2B}\|Y - A^{(L)}\|_F^2$

Backward Pass

4. Initialize output error: $\Delta^{(L)} = (A^{(L)} - Y) \odot \sigma'^{(L)}(Z^{(L)})$

5. For $\ell = L-1, L-2, \ldots, 1$:

$\Delta^{(\ell)} = \Delta^{(\ell+1)}W^{(\ell+1)} \odot \sigma'^{(\ell)}(Z^{(\ell)})$

Gradient Computation

6. For $\ell = 1, 2, \ldots, L$:

$\frac{\partial \mathcal{L}}{\partial W^{(\ell)}} = \frac{1}{B}(A^{(\ell-1)})^T\Delta^{(\ell)}$

$\frac{\partial \mathcal{L}}{\partial \mathbf{b}^{(\ell)}} = \frac{1}{B}\sum_{i=1}^B \boldsymbol{\delta}^{(\ell)}_i$

Worked Examples and Exercises

Detailed Example: Two-Layer Network

Let's work through a complete example with specific numbers to solidify our understanding.

Network Setup:

Forward Pass Calculation

Step 1: Hidden layer pre-activation:

$\mathbf{z}^{(1)} = W^{(1)}x + \mathbf{b}^{(1)} = \begin{pmatrix} 0.5 \\ -0.3 \end{pmatrix} \cdot 2 + \begin{pmatrix} 0.1 \\ -0.2 \end{pmatrix} = \begin{pmatrix} 1.1 \\ -0.8 \end{pmatrix}$

Step 2: Hidden layer activation:

$\mathbf{h} = \sigma(\mathbf{z}^{(1)}) = \begin{pmatrix} \sigma(1.1) \\ \sigma(-0.8) \end{pmatrix} = \begin{pmatrix} 0.750 \\ 0.310 \end{pmatrix}$

Step 3: Output layer pre-activation:

$z^{(2)} = W^{(2)}\mathbf{h} + b^{(2)} = 0.8 \cdot 0.750 + (-0.4) \cdot 0.310 + 0.3 = 0.776$

Step 4: Final prediction:

$\hat{y} = \sigma(0.776) = 0.685$

Step 5: Loss:

$\mathcal{L} = \frac{1}{2}(1 - 0.685)^2 = 0.050$

Backward Pass Calculation

Step 1: Output layer error:

$\delta^{(2)} = (\hat{y} - y) \cdot \sigma'(z^{(2)}) = (0.685 - 1) \cdot 0.685 \cdot (1 - 0.685) = -0.068$

Step 2: Output layer gradients:

$\frac{\partial \mathcal{L}}{\partial W^{(2)}} = \delta^{(2)} \mathbf{h}^T = -0.068 \begin{pmatrix} 0.750 & 0.310 \end{pmatrix} = \begin{pmatrix} -0.051 & -0.021 \end{pmatrix}$ $\frac{\partial \mathcal{L}}{\partial b^{(2)}} = \delta^{(2)} = -0.068$

Step 3: Hidden layer error:

$\boldsymbol{\delta}^{(1)} = (W^{(2)})^T \delta^{(2)} \odot \sigma'(\mathbf{z}^{(1)})$ $(W^{(2)})^T \delta^{(2)} = \begin{pmatrix} 0.8 \\ -0.4 \end{pmatrix} (-0.068) = \begin{pmatrix} -0.054 \\ 0.027 \end{pmatrix}$ $\sigma'(\mathbf{z}^{(1)}) = \begin{pmatrix} 0.750(1-0.750) \\ 0.310(1-0.310) \end{pmatrix} = \begin{pmatrix} 0.188 \\ 0.214 \end{pmatrix}$ $\boldsymbol{\delta}^{(1)} = \begin{pmatrix} -0.054 \\ 0.027 \end{pmatrix} \odot \begin{pmatrix} 0.188 \\ 0.214 \end{pmatrix} = \begin{pmatrix} -0.010 \\ 0.006 \end{pmatrix}$

Step 4: Hidden layer gradients:

$\frac{\partial \mathcal{L}}{\partial W^{(1)}} = \boldsymbol{\delta}^{(1)} x^T = \begin{pmatrix} -0.010 \\ 0.006 \end{pmatrix} \cdot 2 = \begin{pmatrix} -0.020 \\ 0.012 \end{pmatrix}$ $\frac{\partial \mathcal{L}}{\partial \mathbf{b}^{(1)}} = \boldsymbol{\delta}^{(1)} = \begin{pmatrix} -0.010 \\ 0.006 \end{pmatrix}$

Practice Problems

Problem 1: Sigmoid Neuron

Given: $x = 0.5$, $w = 1.2$, $b = -0.8$, $y_{true} = 0$

Calculate: $\frac{\partial \mathcal{L}}{\partial w}$ and $\frac{\partial \mathcal{L}}{\partial b}$ using MSE loss.

Solutions

Solution to Problem 1:

Forward Pass:

$z = 1.2 \times 0.5 + (-0.8) = -0.2$

$\hat{y} = \sigma(-0.2) = \frac{1}{1+e^{0.2}} \approx 0.450$

$\mathcal{L} = \frac{1}{2}(0 - 0.450)^2 = 0.101$

Backward Pass:

$\frac{\partial \mathcal{L}}{\partial \hat{y}} = \hat{y} - y_{true} = 0.450 - 0 = 0.450$

$\frac{\partial \hat{y}}{\partial z} = \sigma'(-0.2) = 0.450(1-0.450) = 0.248$

$\frac{\partial \mathcal{L}}{\partial w} = 0.450 \times 0.248 \times 0.5 = 0.056$

$\frac{\partial \mathcal{L}}{\partial b} = 0.450 \times 0.248 = 0.112$

Code & Resources

A complete, pedagogical implementation of the concepts discussed here—from single neurons to full networks with batch processing—is available on GitHub. The code includes detailed comments explaining each step of the forward and backward passes.

View Implementation on GitHub

Additional Resources

← Back to Projects & Writing Hub